Warning: file(unlucky_ip.csv): failed to open stream: No such file or directory in /var/www/user16028/data/www/enmash.info/index.php on line 60

Warning: fclose() expects parameter 1 to be resource, null given in /var/www/user16028/data/www/enmash.info/index.php on line 84
Программирование в MathCad

enmash.info


Программирование в MathCad

В некоторых ситуациях, например, когда решение задачи производится методом итераций, программирование в MathCad может существенно сократить решение, но преподавателю такое решение сдать будет проблематично, часто просят расписывать все по строчкам с комментариями. Тем не менее, для себя полезно уметь пользоваться циклами, условиями и пользовательскими функциями. К примеру, достаточно написать один раз функцию для типового момента в задаче и по ходу дела обращаться к ней, получая где надо значения функции без написания каждый раз повторно его содержимого. Если вы допустили ошибку в функции, то достаточно исправить ее один раз в кусочке кода в начале и не искать по всему маткадовскому тексту все повторения. Пример решения в MathCad - ниже.

Программирование производится на том же рабочем поле, где вы пишете уравнения и присваиваете значения переменным. Пока вы не знаете горячих клавиш, вам пригодится включить видимость панели View -> toolbar -> Programming. Для того, чтобы написать программу достаточно вспомнить информатику на первом курсе или из школы и как работают циклы for и while, а также условия if ... else ...

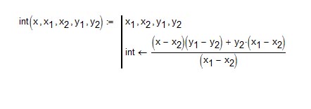
Пример простой программы в MathCAD приведен ниже (взят из реального курсача).

На фотке ниже создана функция, теперь, написав ch:=int(44,43,45,65,324) она выдаст результат интерполяции.

Пример самодельной функции в MathCad

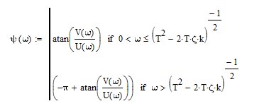
А еще ниже показан пример условия. Значение переменной присваивается в зависимости от того, какое условие выполняется.

Пример условия при программировании в MathCad

Если у вас есть, что чем поделиться, то воспользуйтесь формой ниже. Внутрь архива пожалуйста вкладывайте описание, чем подробнее, тем лучше. Спасибо.